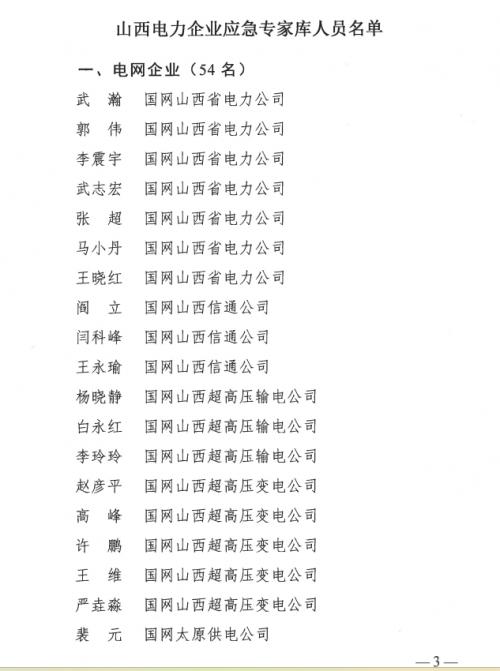
日前,山西能源监管办印发关于调整山西电力应急专家库的通知,决定调整129名同志为山西电力应急专家库成员,其中,7名新能源发电成员。
根据通知,专家库成员主要发挥专业特长,提供技术咨询和工作支撑,严格执行中央八项规定,积极参加电力安全检查,安全教育培训及其他工作。
此外,专家库实行动态管理,根据专家业务能力,身体状况,工作态度,企业评价等,对专家库成员进行动态调整。
名单如下:





日前,山西能源监管办印发关于调整山西电力应急专家库的通知,决定调整129名同志为山西电力应急专家库成员,其中,7名新能源发电成员。
根据通知,专家库成员主要发挥专业特长,提供技术咨询和工作支撑,严格执行中央八项规定,积极参加电力安全检查,安全教育培训及其他工作。
此外,专家库实行动态管理,根据专家业务能力,身体状况,工作态度,企业评价等,对专家库成员进行动态调整。
名单如下:





近日,宁夏地区规模最大的构网型共享储能电站——宁夏祥核云储200MW/400MWh光储充一体化共享储能电站项目,因其重要的战略意义与高效的工程进展,获得了银川新闻联播的重点报道。作为...
11月26日,琏升科技(300051)发布关于董事会换届完成并选举董事长及聘任高级管理人员、证券事务代表及内审部门负责人的公告。公告称,琏升科技股份有限公司分别于2025年11月25日、11月26日召开了...
记者从中国华能集团有限公司官网获悉,钟国东已任该公司董事、总经理、党组副书记。钟国东,男,1970年生,四川省人,浙江大学电力系统及自动化专业学士,高级经济师。钟国东曾任中国华电集团公司四...
新型号扩展了KD系列系列,以支持从任务关键型到商业运营的各种应用。密尔沃基2025年12月2日/美通社/ -- Rehlko今日宣布在全球推出全新KD系列™ 60–600 kW发电机,扩展其旗舰KD系列系...
12月1日,*ST金刚(300093)(300093.SZ)公告称,下属子公司香港金刚与南亚客户签订了298MWHJT电池片销售合同,预计合同累计金额占公司2024年度经审计主营业务收入的50%以上且超过1亿元。该合同自双...
近日,大全能源披露机构调研纪要显示,基于对当前产品价格及市场趋势的变化情况,公司对生产计划进行了动态调整,预计第四季度多晶硅产量为3.95万吨至4.25万吨。产量提升带来的规模效益以及单位产...
近日,HTWO广州与现代商用车联合打造的49吨氢燃料电池牵引车携手大田物流公司开展试运营,为粤港澳大湾区的绿色货运按下加速键。大田物流始终将可持续发展融入运营核心,积极响应“双碳&rdq...
国家知识产权局信息显示,通威太阳能(成都)有限公司取得一项名为"双面异质结太阳电池铜栅线制备装置和电池片生产设备"的专利,授权公告号CN 223584634 U,申请日期为2025年02月。专利摘要显示,本...
12月3日,有投资者在投资者互动平台对先导智能提问: 公司在钙钛矿、HJT方面有进展吗?先导智能表示,公司深耕新能源装备领域,可提供TOPCon、钙钛矿、HJT、XBC等全品类光伏电池整线解决方案。依托...
1、事故背景2024年4月26日,晶科能源股份有限公司全资子公司山西晶科能源贰号智造有限公司一期切片电池车间屋面发生火情引发火灾事故。2、事故进展情况及对公司的影响上述事故导致山西晶科等主...
近日,中能投(河南)实业发展有限公司(以下简称: 中能投实业)与百色聚优能能源科技有限公司(以下简称: 百色聚优能)一行赴北京京能清洁能源电力股份有限公司(以下简称: 京能清洁能源)合作交流,各...
近日,南网储能公司在广州成功举办卢森堡恩赛沃(Enovos)能源集团电池储能系统(BESS)业务专项培训班,恩赛沃集团及其下属公司的6名技术骨干参加培训。这也标志着南网储能公司在储能技术国际化交...
12月1日,中国十九冶承建的中能国云安丘市官庄镇独立共享储能项目正式开工建设。该项目位于山东省潍坊市安丘市官庄镇,规划总建设规模为100MW/200MWh磷酸铁锂电化学储能,包括20台5MWPCS一体机,4...
严冬已至,但在乌兰察布市四子王旗新型储能电站项目建设现场,却是一派热火朝天的施工景象。起重机巨臂挥舞,施工人员紧张作业,各类工程车辆往来穿梭——这座总投资3.6亿元的新型储能...
在全球变暖与城市化进程加速背景下,极端热浪事件频发,城市热岛效应日益凸显,对能源安全、公共健康及城市可持续发展构成挑战。屋顶光伏(RPVPs)因其在能源转型与减排方面的巨大潜力备受瞩目。然...
12月1日,山东省印发《新能源可持续发展差价结算实施细则(征求意稿)》、《山东省电力零售市场价格风险防控实施细则(征求意见稿)》,明确了存量风、光项目的机制电量、电价等规则。存量、增量认...